宝秀行
当前位置:  中国翡翠网 >

热点收藏

> 朱翼?先生的碑帖收藏

朱翼?先生的碑帖收藏

http://feicui168.com 2014-11-19 22:12:12
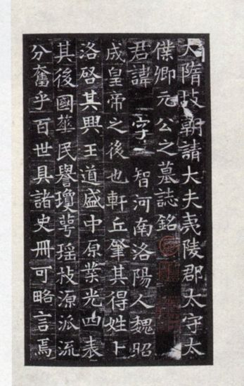
故宫博物院藏《明拓汉司隶校尉鲁峻碑》 故宫博物院藏《明拓汉司隶校尉鲁峻碑》 故宫博物院藏《明初拓卫景武公李靖碑》 故宫博物院藏《明初拓卫景武公李靖碑》 故宫博物院藏《明拓太仆卿元公夫人姬氏合志》 故宫博物院藏《明拓太仆卿元公夫人姬氏合志》
朱翼?先生旧照朱翼?先生旧照

  施安昌  来源:东方早报艺术评论

  朱翼?先生是朱家?之父,其旧藏碑帖有三个特点:第一,名碑名帖为多,两汉碑刻近七十种,当时所见几乎全部收入,唐代碑志数量最多,名家存世碑塔皆囊括其中。第二,善本精拓为多,宋拓二十余种,元拓四种,明拓四十余种,含英咀华,孙承泽难以比肩。第三,有鉴家、学者题识为多。

  

  故宫博物院举办朱翼?先生旧藏碑帖展览有几次了。当然,那都是在拨乱反正,人们重新认识历史和历史文化遗产之后的事情。

  对于古代石刻研究的风气,兴起于宋。对于拓本的品鉴比勘,至清代乾嘉时尤炽。在那时,评骘碑帖形成了一套方法和标准,为许多人懂得,广搜博罗,校订同异。嘉庆元年(1796年)七月,翁方纲在汉延熹华山庙碑长垣本后题跋说:“延熹华岳庙碑世所流传煊赫之三本,予皆摹藏之。四明本仅得双钩本耳。长垣本最完而用墨过重,不无稍掩书痕之憾。惟山史本纸墨调匀,古色盎然,虽损失较多而神理最厚,前人题识亦最富,洵名迹也。安得此三本合校而勒之石耶?”这里,翁方纲对几本华山碑拓加以比较,表明衡量优劣有四点:一是存字多少,二是拓工精粗,三是纸墨新旧,四是有无前人题识。由此可知一斑。

  什么样的拓本是善本,是一个复杂的问题。概括来讲,善本应当是指那些存世已少的,有很高文化价值的,传拓时代早的原石拓本。这里包括了四个标准:必是从原碑和原帖上拓下来的;在同一种碑帖的拓本中应是很早的拓本,已是稀有之物;具有重要的历史文化价值(主要就书法而言)。此外还可以结合题跋、印鉴等条件综合考虑。

  从主要方面来说,欧斋藏碑有三个特点:第一,名碑名帖为多。如两汉碑刻近七十种,当时所见几乎全部收入。唐代碑志数量最多,虞世南、欧阳询、褚遂良、欧阳通、王知敬、李邕、史惟则、苏灵芝、李阳冰、张从申、颜真卿、徐浩、柳公权等名家存世碑塔皆囊括其中。第二,善本精拓为多。宋拓二十余种,元拓四种,明拓四十余种,含英咀华,孙承泽难以比肩。第三,有鉴家、学者题识为多。如元拓石鼓文 ,孙克宏古物,附周伯温临石鼓文墨迹,翁方纲、吴云、张祖翼、杨守敬等题识。

  

  朱氏《欧斋碑帖目录》原稿的体例是这样的:按拓本装裱形式分为装册、帖、裱轴、拓片四个部分。每一部分中依刻碑的时间先后顺序排列,帖一部分则依刻帖的时间先后顺序排列,每一种碑先写碑名并标出刻碑年代,再注明拓本的时代、书家、早先的收藏者,并附题跋者、署签者姓氏,最后说明件数(册、卷、周)。对一些重要的跋文照录于后。这种体例同众多的石刻著录以统一的时间为序不同,而与欧斋当初庋藏的实际情况是相符的。因为册、轴和拓片分开存放在不同的柜架上,结果就分别造出几个目录来。

  这样的目录是为自己和同好者用的,简明扼要。注明传拓时间和旧藏情况,反映出编者的鉴识,至关重要。摘录前人题跋是为了阅读方便,足见编者善于借鉴,勤于钻研。自王兰泉编定《金石萃编》,革新体例,金石学家奉为圭臬。《欧斋碑帖目录》则是与其不同的私家收藏目录。

  

  以校碑来区别拓本早晚的方法是比较合理而有效的。此法要点有三:一是同一碑的早拓本保存字多,晚拓本保存字少。二是某些字在早拓本中尚且完好而晚拓本已经损泐。三是晚拓本与早拓本比较,往往出现了石花和裂纹,时间越晚越严重,有的损及文字,有的在字里行间。

  早拓本比晚拓本多存的字或完好的字,晚拓本比早拓本多出现的或者后来逐渐扩大的石花和裂纹,这两方面人们通常称作考据(或考据学)。这个“考据”的含义即是借以考察拓本时代的根据。对于不少碑拓,人们在鉴别其时代早晚时已经发现了一系列的考据,分别可以作为不同时代的标志。这些考据构成了一个考据序列,记下了碑石面貌的历史变化,就像考古发掘中层位的叠压顺序反映出遗址的历史变迁一样。将考据和文字书法面貌、墨色、纸质、题跋、印鉴、装裱等项结合研究,使得碑帖版本的鉴定趋于细致、条理和科学。

  显然,校碑的方法与考据的确定是以占有同一种碑的多件不同时期的拓本为基础的。拓本多,观察细,分析合理,方能发现考据,建立考据序列。此其一。宋、元、明拓的鉴别,有赖于相应时代的考据之掌握,而早期的考据只有从古拓本上才能发现。因此,搜集明以前的古拓本对于将考据序列向上推进来说就非常重要。此其二。碑帖的面貌与历史变化借拓本得以再现和保存下来,而与捶拓技术高低关系密切。拓工精良(包括纸、墨适合)能够准确、清晰、完全地表现碑帖真实面目,拓工粗劣(模糊、走形、失拓)则不能。故欲认真识读、研究碑帖者必依靠精拓本。这一点,人们往往忽视。此其三。

  应当说,上述三点是真正的碑帖鉴藏家必然注意到的,而欧斋主人适称典范。正因如此,其题跋多见卓识,法前人未发之覆。兹举三例。

  (一)司隶校尉鲁峻碑《校碑随笔》指出旧拓最早的考据是:“第十二行‘宣尼’二字、第十六行‘遐迩’二字,皆未损”,“若‘遐迩’‘迩’字末笔完好则第十五行‘允文允武’‘武’字可见”。欧斋收此碑两种,一是明拓“武”字不损本。另一本是丁彦臣同治庚午所得并跋本。后者“宣尼”“遐迩”等字完好,而且较洪适《隶释》还多第十一行“汝南干商”之“商”字,第十六行“当迁阃职”之“迁”字尚存,故为北宋拓。

  (二)卫景武公李靖碑,清末方若《校碑随笔》讲:十二行“断鳌”二字未损,十一行“鼋鼍”二字未损是明拓早期考据。欧斋先获一明拓,江西刘??旧物,十年后寻得另一本:“此本为程穆倩旧藏,纸墨毡蜡俱极精古。碑中后半‘追踪昭伯腾映前猷’之‘猷’字,起首一点,余所见明拓本无不损者,此独完好,为此本打本在前之证”。(1932年跋)“碑中‘王’字已凿损,是金海陵以后所拓,犹在宋末元初。”(一九三零年跋)原拓“猷”字本是欧斋首先发现的。又六十年以后,马子云先生认为:朱翼?旧藏元明间拓本,为现时所见此碑拓本之冠,较中晚期明拓“断鳌”未损本尚多六十余字。

  (三)太仆卿元公夫人姬氏合志欧斋一九二零年跋云:“是志习见者,往往锋棱四射,笔画光洁,人咸以为初拓,实则归武进陆氏后搜剔成之,不足贵也。此本尚是陕拓,虽纸与墨均不及陆氏之佳而有一种浑朴之气,未经洗凿犹不失本来面目。世有知者盖不以彼易此矣。”

  上述(一)、(二)两例讲的是发现宋拓的考据,(三)则讲对碑之洗凿前后面貌变化的区别,足见欧斋鉴碑之精审。

  

  古碑拓数以万计,各有历史文献价值,又有书法艺术价值。自宋代至清初,学者研究石刻大都为羽翼经史而考证文字内容,至于偶有谈及书法,则简单而不细致,零散而乏条理,对于历代碑刻的书法给予历史观照,前后联系,探究字体沿革,书势演变,这样的研究路子到清初可见端倪,而后越走越宽。

  郭宗昌《金石史》(顺治九年,1652年以后刊印),钱泳《履园丛话?书学》(作者卒于道光廿四年,1844年),杨守敬《激素飞清阁评碑记、评帖记》(同治七年,1868年),刘熙载《艺概?书概》(同治十二年,1873年),康有为《广艺舟双楫》(清末)等等著作,都是这方面获得的成果,颇有影响。

  这些著述中论及许多碑刻,尽管评价有同有异,但由于学者的看重、赏析使其书艺得到肯定,渐渐成为人们心中之名碑,已成为欣赏者和收藏家追求之目标。

  清代后期,碑帖搜集蔚然成风。我们注意到,杨守敬《激素飞清阁评碑记》所举碑二八八种 ,欧斋几乎全部收入。康氏《广艺舟双楫》推荐的搜集碑目(汉晋至隋)二七零种欧斋基本上也收入了。康氏是“尊魏卑唐”的,但欧斋的唐碑尤为丰富精彩,其观念显然相左。由此,我们可以认识到欧斋鉴藏碑帖的学术渊源和审美取向。■

  (作者系故宫博物院研究员,本文由《紫楚城》杂志供稿)



【免责声明】本文仅代表作者本人观点,与中国翡翠网无关。中国翡翠网对文中陈述、观点判断保持中立,不对所包含内容的准确性、可靠性或完整性提供任何明示或暗示的保证 。请读者仅作参考,并请自行承担全部责任。


宝秀行翡翠商城 品牌正品,假一赔十    
图片文章

  公司地址:四川省凉山州西昌市邛海生态湿地公园小渔村景区三栋